Какой уровень алкоголя в крови разрешен за рулем
- Какой уровень алкоголя в крови разрешен за рулем
- Связанные вопросы и ответы
- Каков максимально допустимый уровень алкоголя в крови для водителей в России
- Можно ли садиться за руль после употребления одного бокала вина
- Какие последствия для водителя, если он попался за рулем с превышением допустимой нормы алкоголя
- Как алкоголь влияет на реакцию водителя
- Отличается ли допустимая норма алкоголя за рулем в разных странах
- Каким образом определяется уровень алкоголя в крови
- Может ли совместное употребление лекарств и алкоголя повлиять на способность управлять автомобилем
- Помогает ли кофе быстро выветриться после употребления алкоголя
- Как влияет масса тела на уровень алкоголя в крови
Какой уровень алкоголя в крови разрешен за рулем
Какие законы регулируют ответственность за пьяную езду, как определяют состояние опьянения, какой штраф предусмотрен за вождение в нетрезвом виде и можно ли опротестовать лишение прав — в материале “Ъ”.
Российское законодательство запрещает управление транспортным средством, если уровень алкоголя в крови водителя превышает допустимые нормы.
Неприемлемым считается наличие:
— более 0,3 г этилового спирта на 1 л крови водителя;
— более 0,16 мг на 1л выдыхаемого воздуха.
Разрешенные 0,3 промилле — это, например, около 300 г легкого пива, выпитых более чем за час до поездки мужчиной весом 75 кг. Однако показатели индивидуальны и зависят от многих факторов, в том числе наличия технических погрешностей при определении уровня промилле. Важно помнить, что в ряде случаев превысить норму можно даже употребляя даже квас, кефир или содержащие алкоголь лекарства.
Как определяется нетрезвое состояние
После остановки автомобиля сотрудник ГИБДД вправе отстранить водителя от управления, если подозревает его в употреблении алкоголя. Подозрения считаются оправданными при наличии следующих признаков:
— запах алкоголя;
— бессвязная речь;
— неадекватное поведение;
— плохая координация;
— нездоровый цвет кожных покровов;
— дрожание рук.
Одного из этих признаков достаточно для отстранения. После этого составляется протокол в присутствии двух понятых либо с проведением
— данные об инспекторе и о водителе;
— данные о транспортном средстве;
— дата и время происходящего, место действия;
— вышеописанные основания для отстранения.
Протокол должен быть подписан обеими сторонами, каждой выдается экземпляр.
Далее водитель проходит первичное освидетельствование — его проверяют на алкотестере. Процедура осуществляется два раза с интервалом в 20 минут.
Важно! Алкотестер должен быть сертифицирован и перед измерением наличия алкоголя опломбирован. Инспектор должен надлежащим образом оформить сопутствующий тесту акт.
В ряде случае происходит освидетельствование сразу в медицинском учреждении:
— если водитель отказывается проверяться на месте;
— если водитель не согласен с результатами проверки;
— если сотрудник ГИБДД продолжает подозревать водителя в употреблении алкоголя при допустимых результатах теста.
При направлении на медосвидетельствование составляется еще один протокол. В больнице водителя могут проверить также на наличие других запрещенных веществ в крови. При этом инспектор обязуется доставить туда водителя.
Если присутствие алкоголя в организме подтвердится либо от водителя последует отказ от освидетельствования, машина нарушителя отправится на штрафстоянку, а составленный протокол — на рассмотрение суда.
Важно! Признать водителя виновным в правонарушении может только суд.
Какие наказания предусмотрены в 2023 году
Пьяное вождение в России считается серьезным правонарушением. Наказание за езду в нетрезвом виде регулируется ст. 12.8 Кодекса об административных правонарушениях либо в случае повторного правонарушения ст. 264.1 Уголовного кодекса РФ.
Штраф за превышение предельно допустимой концентрации алкоголя составляет до 30 тыс. руб., предусмотрено также лишение прав на срок от полутора до двух лет. Такое же наказание предполагается за отказ от медосвидетельствования, а также за передачу машины пьяному в управление.
Если у нетрезвого за рулем нет при себе водительских прав, то он может быть арестован на срок до 15 суток.
Штраф за повторное вождение в нетрезвом виде составит от 200−300 тыс. руб., лишение водительских прав на три года, может быть применено наказание вплоть до двух лет лишения свободы. Уголовная ответственность в случае повторного нарушения была введена с 1 июля 2021 года.
По статистике примерно каждое десятое ДТП в России происходит с участием пьяных водителей.
Если суд признал водителя виновным
Водитель обязан сдать права в отделение ГИБДД в течение трех дней после того, как суд вынес обвинительный вердикт. Права будут храниться в ГИБДД в течение всего срока лишения. Он отсчитывается от дня решения суда.
Связанные вопросы и ответы:
Вопрос 1: Какова допустимая норма алкоголя за рулем в России
В России допустимая норма алкоголя в крови водителя составляет 0,16 промилле. Это означает, что если уровень алкоголя в крови превышает этот показатель, водитель считается пьяным и подлежит административному наказанию. Норма была установлена для обеспечения безопасности дорожного движения, так как даже небольшое количество алкоголя может ухудшить реакцию и координацию. Стоит отметить, что эта норма применяется к водителям, которые управляют транспортным средством в рамках своей профессиональной деятельности, а также к тем, кто управляет личным автомобилем. Нарушение данного правила может привести к штрафам, лишению прав и другим последствиям.
Вопрос 2: Почему допустимая норма алкоголя за рулем установлена на уровне 0,16 промилле
Допустимая норма алкоголя за рулем в размере 0,16 промилле была установлена для того, чтобы минимизировать риски аварий, связанных с употреблением алкоголя. Исследования показывают, что даже небольшое количество алкоголя в крови может замедлить реакцию, ухудшить координацию и снижать концентрацию внимания. Этот уровень считается безопасным, так как он соответствует минимальному количеству алкоголя, которое может присутствовать в организме без значительного влияния на способность управлять транспортным средством. Однако важно помнить, что индивидуальная толерантность к алкоголю может варьироваться, и даже при уровне ниже 0,16 промилле некоторые люди могут чувствовать себя неважно.
Вопрос 3: Как алкоголь влияет на водителя при управлении автомобилем
Алкоголь оказывает негативное влияние на водителя при управлении автомобилем, даже в небольших количествах. Он замедляет реакцию, ухудшает координацию движений и снижает концентрацию внимания. Кроме того, алкоголь может искажать восприятие расстояний и скоростей, что увеличивает риск аварий. Также алкоголь снижает критическое мышление, что может привести к неправильным решениям за рулем. В целом, употребление алкоголя перед вождением значительно повышает вероятность участия в дорожно-транспортном происшествии.
Вопрос 4: Какие методы используются для определения уровня алкоголя в крови
Для определения уровня алкоголя в крови используются два основных метода: анализ крови и анализ выдыхаемого воздуха. Анализ крови считается более точным, так как он показывает точное содержание алкоголя в организме. Анализ выдыхаемого воздуха, который проводится с помощью алкотестера, также является надежным методом, но его результаты могут быть оспорены в суде. Оба метода широко применяются сотрудниками дорожной полиции для проверки водителей на предмет опьянения. Стоит отметить, что алкотестеры должны регулярно проверяться и калиброваться для обеспечения точности результатов.
Вопрос 5: Какие последствия могут возникнуть в случае нарушения допустимой нормы алкоголя за рулем
В случае нарушения допустимой нормы алкоголя за рулем водитель может столкнуться с серьезными последствиями. Во-первых, ему грозит административный штраф в размере до 30 тысяч рублей. Во-вторых, может быть применено наказание в виде лишения водительских прав на срок от 1,5 до 2 лет. В-третьих, в случае повторного нарушения, водитель может быть привлечен к уголовной ответственности, что повлечет за собой болееокие санкции, включая тюремное заключение. Кроме того, нарушение правил может привести к повышению стоимости страховки и другим финансовым издержкам.
Вопрос 6: Может ли допустимая норма алкоголя за рулем быть изменена в будущем
Допустимая норма алкоголя за рулем может быть изменена в будущем в зависимости от изменений в законодательстве и общественных настроениях. В некоторых странах уже введен запрет на управление автомобилем при любом уровне алкоголя в крови, что связано с повышением безопасности дорожного движения. В России также ведутся обсуждения о снижении допустимой нормы или полном запрете на употребление алкоголя за рулем. Однако на данный момент уровень 0,16 промилле остается действующим, и водители должны придерживаться этого правила.
Вопрос 7: Какие страны имеют нулевую терпимость к алкоголю за рулем
Нулевая терпимость к алкоголю за рулем действует в многих странах, таких как США, Канада, Великобритания, Германия, Франция и другие. В этих странах управление автомобилем при любом уровне алкоголя в крови считается преступлением и наказывается строго. Например, в США уровень алкоголя в крови должен быть не выше 0,00 промилле для водителей моложе 21 года, а для взрослых – не выше 0,08 промилле. Нулевая терпимость помогает снизить количество аварий, связанных с алкоголем, и повышает безопасность на дорогах.
Вопрос 8: Как правильно измерить уровень алкоголя в крови перед управлением автомобилем
Для измерения уровня алкоголя в крови перед управлением автомобилем можно использовать алкотестер. Это устройство, которое анализирует выдыхаемый воздух и показывает уровень алкоголя. Перед использованием алкотестера важно убедиться, что он правильно калиброван и функционирует. Также стоит помнить, что результаты алкотестера могут быть оспорены в суде, поэтому они не всегда считаются окончательными. Если вы сомневаетесь в своем состоянии, лучше вообще не садиться за руль после употребления алкоголя.
Каков максимально допустимый уровень алкоголя в крови для водителей в России
В РФ разрешенные нормы спирта в организме во время вождения автомобиля установлены ФЗ-196 «О безопасности дорожного движения» и ст. 12.8 КоАП РФ (Кодекса об административных правонарушениях).
По состоянию на 2024-2025 годы в стране действуют следующие разрешенные нормы:
- в крови — не выше 0,3 гр/л;
- в выдыхаемом воздухе — не более 0,16 мг/л.
Превышение таких показателей влечет за собой юридическую ответственность.
Сравнение с нормами других стран
Допустимые нормы спирта в организме в РФ и других странах различаются. В Канаде и США допустимая норма алкоголя в организме составляет до 0,8 промилле. В странах Европы (Испании, Италии, Германии), в Англии и Ирландии допустимый показатель — 0,5 промилле. В Японии допустимым уровнем алкоголя в выдыхаемом воздухе считается 0,3 промилле.
В странах Скандинавии (Швеции и Норвегии) и Китае допустимая норма — не более 0,1 промилле. В Чехии не существует допустимой нормы алкоголя, которая позволяет управлять автомобилем.
Юридическая ответственность за превышение норм
Вождение автомобиля после употребления даже небольшой порции алкоголя повышает риск дорожно-транспортных происшествий. За превышение допустимых норм и управление транспортным средством в нетрезвом виде предусмотрена юридическая ответственность.
Согласно статье 12.8 КоАП штраф за вождение машины с повышенным показателем алкоголя в выдыхаемом воздухе составляет 30 тыс. руб. Если у водителя нет водительского удостоверения или он был лишен его, то кроме денежного штрафа на человека накладывают арест на 10-15 суток.
Если по вине водителя, у которого было выявлено более 0,16 промилле спирта, погиб другой человек, то ему грозит до пяти лет принудительных работ или лишение свободы на 3-7 лет.
Можно ли садиться за руль после употребления одного бокала вина
Юридические санкции, накладываемые на водителей, севших за руль в нетрезвом состоянии и подвергнувших других людей опасности, предусматривают:
- денежный штраф;
- арест на 15 суток;
- лишение водительских прав;
- уголовную ответственность и обязательные работы.
Наказание будет строже, если человек попадется сотруднику ДПС повторно. В разных странах требования и санкции к водителям отличаются. Отправляясь за пределы России с намерением управлять автомобилем, нужно узнать заранее местные правила. Например, в США можно садиться за руль наутро после употребления спиртного вечером, при этом характерный запах не будет причиной для правовой ответственности.
Нужно учитывать и моральный долг, который водитель несет перед обществом. Управление транспортом требует постоянной концентрации внимания. Даже если человеку кажется, что его навыки вождения позволяют ему водить даже пьяным, он ошибается. На дороге возникают любые неожиданные ситуации: если водитель не может вовремя отреагировать на них, он попадет в аварию. И ценой пары бокалов вина или стопок водки станут человеческие жизни.
Проблема вождения при опьянении в том, что алкоголь сохраняется, даже когда человек чувствует себя полностью трезвым. Многие водители считают, что остаточная концентрация этанола не причиняет опасности , и если почистить зубы и закусить, дыхание человека не будет содержать пары этанола. Это мнение ошибочно: ни жвачка, ни кофе, ни другие средства не устранят следов присутствия алкоголя. Алкотестер покажет верный показатель: убедится в этом легко, самому поэкспериментировав с алкотестером.
Поэтому единственным способом избежать наказания за вождения в состоянии похмелья является полный отказ от вождения в нетрезвом виде. Даже если водитель выпил немного или уверен, что данная доза не может повлиять на скорость реакции, неоправданного риска лучше избегать.
Какие последствия для водителя, если он попался за рулем с превышением допустимой нормы алкоголя
Остановить за вождение в нетрезвом виде может инспектор ГИБДД, основываясь на своих наблюдениях или по сигналу других участников движения.
В транспортном потоке нетрезвого водителя выявляют по неадекватному поведению:
- неуверенные, неоправданные маневры
- слишком быстрая или, наоборот, необъяснимо медленная езда
- попытка «увернуться» от инспектора быстрым перестроением
При задержании инспектор ГИБДД заподозрит водителя в пьяной езде, если:
- в машине стоит запах алкоголя (он неизбежно будет — нетрезвый водитель едет с закрытыми стеклами)
- запах алкоголя от водителя
- наоборот — от водителя и в автомобиле слишком сильно пахнет кофе или жевательной резинкой
- водитель отворачивается и отстраняется от инспектора, дышит в сторону, закуривает сигарету
- движения водителя резкие или наоборот заторможены
- у водителя краснеет лицо, блестят глаза, появляется испарина
- на предложение пройти проверку алкотестером водитель реагирует агрессивно
Даже при наличии одного из этих признаков инспектор ГИБДД начнет процедуру проверки водителя на алкоголь — при помощи алкотестера или медицинского освидетельствования.
Наказания за езду в нетрезвом виде регулирует статья статья 12.8 КоАП РФ https://www.zakonrf.info/koap/12.8/.
Опьянение определяется:
«наличием абсолютного этилового спирта в концентрации, превышающей возможную суммарную погрешность измерений, а именно 0,16 миллиграмма на один литр выдыхаемого воздуха, или наличием абсолютного этилового спирта в концентрации 0,3 и более грамма на один литр крови, либо в случае наличия наркотических средств или психотропных веществ в организме человека».
- Водитель может отказаться от проверки алкотестером и медицинского освидетельствования, вот только в этом случае он будет по умолчанию признан виновным в нетрезвом вождении.
- Наказание за пьяную езду назначает не инспектор ГИБДД, а суд. Инспектор только собирает доказательства и оформляет протокол.
Как алкоголь влияет на реакцию водителя
Как влияет алкоголь на время реакции водителя?
Правильный ответ: 3 Водителю за рулём требуется не только реакция, которая при употреблении алкоголя увеличивается. Самое главное – это постоянная оценка событий и прогнозирование их развития. Под воздействием алкоголя мозг даёт неправильные оценки, в этом и заключается главная опасность управления транспортным средством в состоянии алкогольного опьянения. «Транспортная психология».
Отличается ли допустимая норма алкоголя за рулем в разных странах
Существует две методики определения уровня алкоголя в организме человека — BrAC и BAC. Первый, BrAC — breath alcohol content, — показывает содержание спирта в выдыхаемом воздухе. То самое. BAC — blood alcohol content, показывает содержание спирта в крови. Оба показателя измеряются в миллиграммах этилового спирта, на один литр воздуха или крови. В мире больше распространена методика BAC. Она и легла в основу рейтинга.
0,2 мг/л. Уровень алкоголя на уровне 0,2 мг/л соответствует одному выпитому бокалу вина (150 мл). Такой уровень официально разрешен в Китае, за него водителю ничего не будет.
0,3 мг/л. В переводе на бытовой 0,3 мг/л равен рюмке ликера (50 мл), бокалу виски (50 мл) или 0,5-литровой бутылке пива. Минимально допустимый уровень алкоголя в крови в размере 0,3 мг/л разрешен в Беларуси и Японии.
0,35 мг/л. Действует в России. Хотя нам более привычен его эквивалент — 16 мг на литр выдыхаемого воздуха. Именно этот показатель закреплен в КоАП.
0,5 мг/л. Равен двум бутылкам пива или 100 граммам водки. С таким количеством выпитого разрешается водить автомобиль в Германии, Франции, Италии, Таиланде, Турции, Греции, Испании и Австралии.
0,8 мг/л. Наиболее высокий в мире разрешенный уровень алкоголя в крови, закрепленный законом. Действует в США. Американцам можно выпить целую бутылку вина (750 мл) и спокойно сесть за руль.
Каким образом определяется уровень алкоголя в крови
Промилле – показатель, который определяет количество алкоголя, содержащегося в крови человека. Он выражается в тысячных долях процента и является одним из ключевых понятий в области алкогольной информации и безопасности.
Когда человек употребляет алкогольные напитки, они попадают в кровь и распределяются по всему организму. Количество алкоголя в крови соответствует количеству спиртного, которое присутствует в организме в виде этанола – активного компонента алкоголя.

Уровень промилле связан с состоянием опьянения человека. Чем выше промилле, тем сильнее воздействие алкоголя на нервную систему. Промилле можно рассматривать как меру интоксикации организма алкоголем.
Содержание алкоголя в крови человека составляет определенное количество граммов на 100 миллилитров крови. Этот показатель зависит от количества алкоголя, выпитого человеком. К примеру, если уровень промилле составляет 0,5 ‰, это означает, что в крови содержится 0,5 грамма алкоголя на 1 литр крови.
Промилле также связан с различными стадиями опьянения:
- При промилле 0,2-0,5 ‰ человек испытывает чувство расслабления, увеличение настроения, возбуждение.
- При промилле 1-2 ‰ могут возникать проблемы с координацией движений, нарушения речи.
- Опьянение на уровне 2-3 ‰ может привести к потере сознания и даже опасным для жизни состояниям.
Скорость вывода алкоголя из организма зависит от различных факторов: масса человека, пол, общее состояние организма, количество употребленного алкоголя. Обычно организм способен обработать около 0,1-0,15 ‰ промилле в час.
Может ли совместное употребление лекарств и алкоголя повлиять на способность управлять автомобилем
В конце мая Министерство здравоохранения Российской Федерации презентовало список лекарственных средств, после употребления которых нельзя водить машину. В нём больше 200 наименований, а многие лекарства можно купить в свободном доступе без рецепта. Например, корвалол, валосердин, корень солодки, парацетамол, ибупрофен и многие другие знакомые всем названия.
Документ изначально появился в телеграм-канале депутата Госдумы Ярослава Нилова, и Минздрав не подтверждал его подлинность. Однако через некоторое время в министерстве сообщили, что список носит рекомендательный и информационный характер.
Позднее руководитель ГИБДД Михаил Черников заявил, что вышеуказанный перечень лекарств от Минздрава неактуален: "В Сети появился вброс, список из 74 видов лекарств от сердца, аллергии. И там говорится, что тех, кто употребил эти лекарства, будут лишать прав. Я позвонил Михаилу Мурашко. А он сказал, что Минздрав опубликовал опровержение" .
В ГИБДД заявили, что не будут лишать права управления транспортными средствами за употребление препаратов из списка Минздрава. Фото © ТАСС / Алексей Белкин
После Черникова последовал комментарий Минздрава: "Представленный список лекарств, содержащих седативные, психотропные вещества, наркотические анальгетики и/или этиловый спирт и так далее, носит информационный характер. Ряд лекарственных препаратов действительно может оказывать негативное влияние на способность управлять автомобилем, поскольку снижает быстроту реакции, вызывает сонливость. Водить после их приёма действительно настоятельно не рекомендуется".
Таким образом, на текущий момент министерства и ведомства так и не определили перечень запрещённых к употреблению лекарственных средств, существуют только рекомендации. Поэтому для разрешения вопроса о том, можно ли в отношении человека, принимающего препараты для лечения, применять санкцию в виде лишения права управления транспортными средствами, необходимо руководствоваться постановлением Конституционного суда РФ от 2022 года.
Из пояснения Минздрава ясно, что ведомство не имеет претензий к водителю, принимающему лекарственные препараты, не содержащие этилового спирта, наркотических средств и психотропных веществ. И это не послужит основанием для привлечения к ответственности, предусмотренной ст. 12.8 (управление транспортным средством водителем, находящимся в состоянии опьянения) и ч. 3 ст. 12.27 КоАП (невыполнение требования о запрещении водителю употреблять алкогольные напитки, наркотические или психотропные вещества после дорожно-транспортного происшествия).
Помогает ли кофе быстро выветриться после употребления алкоголя
Некоторые любители кофе для придания напитку особого аромата или вкуса добавляют в него коньяк, ром, ликер. Кроме того, есть мнение, что кофеин обладает бодрящим эффектом, помогает быстрее протрезветь, поэтому некоторые стараются выпить чашку-другую кофе после употребления спиртного. О том, как сочетаются эти напитки и что происходит в организме, если они смешиваются, АиФ.ru рассказали врачи.
Что будет, если выпить кофе с алкоголем или после него?
По словам гастроэнтеролога-гепатолога Сергея Вялова , кофеин, действительно, обладает стимулирующим действием. «Кофе замедляет действие алкоголя. Но при этом возникает негативный эффект: у человека создается ложное впечатление, что можно выпить больше. Второй минус кофе — он задерживает жидкость. Если пить его во время или после алкоголя, следует употреблять больше воды. Иначе на следующее утро похмелье будет сильнее», — говорит гастроэнтеролог.
Как влияет на сердце и сосуды сочетание алкоголя с кофе?
Психиатр-нарколог, врач высшей категории Алексей Казанцев также говорит, что кофе на небольшой промежуток времени может отрезвить. Однако он тоже отмечает негативные последствия такого сочетания. «Сам по себе алкоголь спазмирует сосуды и учащает сердцебиение, а при употреблении его с кофе будет усиливаться этот негативный эффект. Также может повышаться давление и появляться головная боль», — предостерегает эксперт. При проблемах с сердечно-сосудистой системой такое сочетание напитков может оказаться опасным для здоровья. Впрочем, как напоминает врач, имеющим сердечно-сосудистые заболевания вообще не стоит употреблять алкоголь.
Как влияет масса тела на уровень алкоголя в крови
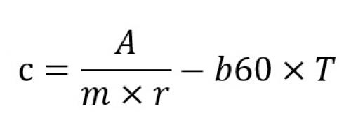
Алкоголь, как химическая субстанция распределяется в биологических жидкостях с соблюдением определенных констант, на учете которых и строится определение его количественных показателей. Интерпретация результатов инструментально-лабораторных методов позволяет не только произвести прямую оценку количества алкоголя, содержащегося в биологической жидкости и сопоставить результаты с клинической картиной, но проводить ретроспективный прогноз о количестве выпитого алкоголя, определятьне только на момент прохождения освидетельствования/экспертизы, но и на момент совершения правонарушения, а также давать характеристику токсикокинетическим параметрам в зависимости от взаимного влияния комплекса факторов (например, пол и возраст освидетельствуемого).
Необходимо отметить, что большинство русскоязычных литературных источников и нормативных актов производит количественную характеристику содержания алкоголя в биологических средах посредством показателя промилле (‰). Промилле показывает массу алкоголя (в граммах) в 1000 мл крови. Например, опьянение в 0,5‰ означает, что в 1000 мл циркулирующей в организме крови содержится 0,5 г чистого алкоголя или иначе 0,5 мг на мл крови
1 милионная часть (ppm) | 1/1,000,000 г/г = 1 мкг/г | 1.06 мкг/мл, 23 мкмоль/л |
Зная концентрацию алкоголя в крови в промилле, можно определить расчётное количество чистого алкоголя, принятого для достижения искомойпри заданной концентрации. Для этого используется формула Видмарка.
- A – масса выпитого напитка (в пересчете на чистый этанол) в граммах;
- m – масса тела в килограммах;
- r – коэффициент распределения Видмарка или иначе фактор редукции (0,70 – для мужчин, 0,60 – для женщин).
c – концентрация алкоголя в крови в ‰; Стоит обратить внимание, что количество чистого этанола выражается в формуле (1) через граммы. А в бытовой сфере количество выпитого алкогольного напитка выражается в миллилитрах. Для перевода миллилитров в граммы необходимо использовать значение плотности этилового спирта.
Обратное ему математическое действие позволяет проводить расчёт количества выпитого алкоголя по формуле:
A=c*m*r
Так, например, при средней степени алкогольного опьянения с концентрацией алкоголя в крови 1,6‰ у мужчины с массой тела 80 килограмм, расчётное количество принятого чистого алкоголя составляет 89,6 грамм, которые могут содержаться в 180-200 миллилитрах водки крепостью 40% или в 550 мл вина крепостью 13% или около 1,5 литров пива, крепостью 5%.
Для того, чтобы определить содержание чистого (условно 100%) этанола в заданном объеме спиртного напитка, нужно прежде всего знать объем и крепость данного напитка. Так, например, представим ситуацию, что освидетельствуемый сообщил о приеме 500 мл пива, которое имело крепость (концентрацию чистого этанола) в 5%. В этом случае следует применить формулу:
где:
- A – масса выпитого напитка (в пересчете на чистый этанол) в граммах;
- v – объем спиртного напитка в миллилитрах;
- р спирта – плотность спирта, которая равна 0,79384 г/куб.см;
- k – крепость спиртного напитка, выраженная в процентах (%).
В нашем примере масса принятого чистого этанола составит около 20 грамм:
А = 500 мл * 0,79384 * 40% / 100% = 19,85 гр
Из формулы (3) можно провести обратный расчёт количество спиртного напитка, исходя из массы чистого алкоголя:
Формула 1 имеет свою модификацию, если необходим анализ содержания этанола в крови на определённый промежуток времени, прошедший с момента употребления спиртного напитка. В этом случае формула имеет следующий вид:

- c – концентрация алкоголя в крови в ‰;
- A – масса выпитого напитка (в пересчете на чистый этанол) в граммах;
- m – масса тела в килограммах;
- r – коэффициент распределения Видмарка или иначе фактор редукции (0,70 – для мужчин, 0,60 – для женщин);
- b60 – понижение концентрации алкоголя в крови за 1 час. Как правило, b60 лежит в пределах 0,1-0,16‰;
Разберем еще один практических пример, на этот раз с применением формулы 5. Мужчина весом 70 килограммов выпил 100 мл водки крепостью 40 градусов три часа назад. Протрезвел ли он, чтобы садиться за руль? (напомним, что предельно допустимая концентрация алкоголя в крови для этого случая 0,5 промилле).
В формулу 5 подставляем известные значения:
- A = 40% * 100 мл * 0,79384 г/мл / 100% = 31,7536 г
- P = 70 кг
Получаем, что с = 31,7536 / (70 * 0,7) – 0,16 * 3 = 0,17 промилле.