Headlines:
- Headlines:
- Связанные вопросы и ответы
- Какова цель измерения содержания алкоголя в крови с помощью стаканов
- Как форма и размер стакана влияют на измерение содержания алкоголя
- Какие методы были использованы в эксперименте для определения уровня алкоголя в крови
- Как концентрация алкоголя в напитке влияет на показания промилле
- Какие факторы влияют на точность измерения промилле этим методом
- Как эксперимент связан с реальными ситуациями, такими как вождение в нетрезвом виде
- Какие последствия результатов эксперимента для ответственного потребления алкоголя
- Как объем напитка влияет на измерение его алкогольного содержания
- Какие ключевые различия между измерением промилле в лаборатории и в реальной жизни
Headlines:
В эпоху информационного изобилия заголовок стал неотъемлемой частью любого текста. Он действует как магнит, привлекая внимание читателя и побуждая его к дальнейшемуению. Хорошо написанный заголовок может существенно повысить эффективность статьи, блог-поста или рекламного объявления. В данной статье мы рассмотрим основные аспекты создания эффективных заголовков, их влияние на читателя и практические советы по их написанию.
Основные Принципы Создания Заголовков
Прежде чем перейти к практическим аспектам, важно разобраться в основных принципах, которые лежат в основе создания заголовков. Хороший заголовок должен быть кратким, информативным и привлекательным. Он должен отвечать на вопросы "Что?" и "Почему?", чтобы заинтересовать читателя.
Краткость и Ясность
Одним из ключевых моментов является краткость. Заголовок не должен быть слишком длинным, иначе он потеряет свою эффективность. Оптимальная длина заголовка составляет от 5 до 9 слов. Это позволяет быстро передать основную идею и сохранить внимание читателя.
Информативность
Хороший заголовок должен быть информативным. Он должен четко указывать на содержание статьи или материала. Это помогает читателю понять, что его ждет дальше, и принять решение о том, стоит ли продолжать чтение.
Привлекательность
Привлекательность заголовка заключается в его способности вызвать эмоции или любопытство. Использование вопросительных или возвратных предложений, а также эмоциональных слов может повысить интерес читателя.
Влияние Заголовков на Читателя
Заголовок играет ключевую роль в том, чтобы привлечь внимание читателя и удержать его интерес. Исследования показывают, что до 80% пользователей читают заголовок, но только 20% переходят к чтению полного текста. Это подчеркивает важность хорошо написанного заголовка.
Первое Впечатление
Первое впечатление о тексте формируется именно благодаря заголовку. Если заголовок неинтересный или непонятный, читатель может отказаться от дальнейшегоения, даже если сама статья содержит ценные сведения.
Эмоциональная Связь
Эмоциональная связь с читателем является важным аспектом эффективного заголовка. Заголовок, который вызывает эмоции, такие как радость, удивление или любопытство, более вероятно привлечет внимание и побудит к действию.
Практические Советы по Написанию Заголовков
Теперь рассмотрим практические советы, которые помогут вам написать эффективные заголовки.
Использование Чисел
Числа в заголовках привлекают внимание и создают ощущение конкретики. Например, "5 способов повысить продуктивность" или "10 лайфхаков для начинающих".
Вопросительные и Возвратные Предложения
Вопросительные предложения побуждают читателя задуматься и искать ответы в тексте. Например, "Как стать успешным в своей сфере?" или "Почему важно заниматься спортом?"
Использование Эмоциональных Слов
Эмоциональные слова помогают создать связь с читателем. Например, "Удивительные лайфхаки для вашего дома" или "Шокирующие факты о здоровье".
Примеры Эффективных Заголовков
Давайте рассмотрим несколько примеров эффективных заголовков и проанализируем, почему они работают.
| Заголовок | Обоснование |
|---|---|
| 5 простых шагов к идеальной фигуре | Использование числа и конкретного обещания |
| Как стать миллионером до 30 лет | Вопросительное предложение и обещание результатов |
| 10 ошибок, которые совершают все новички | Использование числа и создание ощущения полезности |
Влияние Заголовков на SEO и Конверсию
Заголовки не только привлекают внимание читателей, но и влияют на SEO и конверсию. Хороший заголовок может повысить позиции вашей статьи в поисковых системах и увеличить количество переходов.
Оптимизация для Поисковых Систем
Использование ключевых слов в заголовке помогает поисковым системам лучше понять содержание вашей статьи и вывести ее в топ результатов поиска.
Повышение Конверсии
Хорошо написанный заголовок может повысить конверсию, побуждая читателей к дальнейшим действиям, таким как подписка, покупка или оставление комментария.
Заключительные Мысли
Написание эффективных заголовков требует практики и понимания потребностей вашей аудитории. Используя основные принципы и практические советы, вы сможете создавать заголовки, которые привлекают внимание, создают эмоциональную связь и повышают конверсию. Помните, что заголовок — это лицо вашего текста, и оно должно быть ярким и запоминающимся.
Связанные вопросы и ответы:
Вопрос 1: Что такое промилле и как оно применяется при разливке напитков по стаканам
Промилле — это единица измерения, используемая для обозначения доли вещества в смеси. В контексте алкогольных напитков промилле указывает на содержание алкоголя по объему. При разливке напитков по стаканам промилле помогает определить точное количество алкоголя в каждом порционном стакане. Это важно для соблюдения стандартов приготовления коктейлей и обеспечения последовательного вкуса. Кроме того, измерение промилле позволяет барменам контролировать крепость напитков, что особенно важно для создания гармоничного вкуса и соблюдения рецептурных требований.
Вопрос 2: Какие методы используются для измерения промилле в алкогольных напитках
Для измерения промилле в алкогольных напитках используются несколько методов. Основным из них является применение специального прибора — ареометра, который измеряет плотность жидкости и позволяет определить содержание алкоголя. Также существуют цифровые устройства, такие как алкотестеры, которые предоставляют более точные показания. В домашних условиях можно использовать таблицы плотности, которые помогают определить промилле на основе измерения плотности напитка с помощью простого ареометра. Каждый метод имеет свои преимущества и недостатки, но все они направлены на точное определение содержания алкоголя.
Вопрос 3: Почему важно точно измерять промилле при приготовлении коктейлей
Точное измерение промилле при приготовлении коктейлей важно для обеспечения последовательности вкуса и качества напитков. Если содержание алкоголя слишком высокое или низкое, это может кардинально изменить вкус коктейля и сделать его неприятным для потребления. Кроме того, точное измерение промилле помогает барменам соблюдать рецептуры и стандарты, что особенно важно в профессиональной среде. Также это позволяет создавать напитки, которые соответствуют ожиданиям клиентов и обеспечивают безопасность, особенно в случаях, когда важно знать точное содержание алкоголя.
Вопрос 4: Как разные уровни промилле влияют на вкус и ощущение напитка
Разные уровни промилле существенно влияют на вкус и ощущение напитка. Низкие уровни промилле (например, 5-10%) делают напиток легким и освежающим, часто используемым в аперитивах. Средние уровни (10-20%) обеспечивают баланс между алкоголем и другими ингредиентами, что подходит для большинства коктейлей. Высокие уровни промилле (20% и выше) делают напиток более крепким и интенсивным, что может быть слишком сильным для некоторых людей. Содержание алкоголя также влияет на ощущение горечи или сладости, поэтому баланс промилле важен для создания гармоничного вкуса.
Вопрос 5: В каких ситуациях важно знать промилле напитка для обеспечения безопасности
Знание промилле напитка важно для обеспечения безопасности в нескольких ситуациях. Во-первых, при подаче алкогольных напитков в баре важно знать точное содержание алкоголя, чтобы не превышать допустимые нормы и избежать проблем с законом. Во-вторых, при приготовлении коктейлей для людей, которые имеют ограничения на потребление алкоголя, важно точно измерять промилле, чтобы не причинить вреда здоровью. В-третьих, при создании напитков для специальных мероприятий или для людей с определенными предпочтениями важно учитывать уровень промилле, чтобы обеспечить безопасность и комфорт гостей.
Вопрос 6: Какое оборудование необходимо для точного измерения промилле в домашних условиях
Для точного измерения промилле в домашних условиях необходимо использовать специальное оборудование. Основным прибором является ареометр — устройство, которое измеряет плотность жидкости и позволяет определить содержание алкоголя. Также можно использовать цифровые алкотестеры, которые более удобны и предоставляют точные показания. Для более точных измерений можно использовать лабораторные приборы, такие как рефрактометры, но они обычно дороже и сложнее в использовании. В домашних условиях ареометр является наиболее доступным и простым в использовании вариантом для измерения промилле.
Вопрос 7: Как промилле сравнивается с другими мерами алкогольной концентрации, такими как градусы
Промилле и градусы — это две разные меры алкогольной концентрации. Промилле содержание алкоголя по объему в процентах, тогда как градусы обычно обозначают содержание алкоголя по весу. Однако в практическом применении промилле и градусы часто используются взаимозаменяемо, так как они предоставляют аналогичную информацию о крепости напитка. Промилле более распространено в европейских странах, тогда как градусы чаще используются в США и других регионах. Обе меры важны для понимания содержания алкоголя в напитках и помогают в приготовлении и подаче алкогольных коктейлей.
Какова цель измерения содержания алкоголя в крови с помощью стаканов
Алкоголь, как химическая субстанция распределяется в биологических жидкостях с соблюдением определенных констант, на учете которых и строится определение его количественных показателей. Интерпретация результатов инструментально-лабораторных методов позволяет не только произвести прямую оценку количества алкоголя, содержащегося в биологической жидкости и сопоставить результаты с клинической картиной, но проводить ретроспективный прогноз о количестве выпитого алкоголя, определятьне только на момент прохождения освидетельствования/экспертизы, но и на момент совершения правонарушения, а также давать характеристику токсикокинетическим параметрам в зависимости от взаимного влияния комплекса факторов (например, пол и возраст освидетельствуемого).
Необходимо отметить, что большинство русскоязычных литературных источников и нормативных актов производит количественную характеристику содержания алкоголя в биологических средах посредством показателя промилле (‰). Промилле показывает массу алкоголя (в граммах) в 1000 мл крови. Например, опьянение в 0,5‰ означает, что в 1000 мл циркулирующей в организме крови содержится 0,5 г чистого алкоголя или иначе 0,5 мг на мл крови
1 милионная часть (ppm) | 1/1,000,000 г/г = 1 мкг/г | 1.06 мкг/мл, 23 мкмоль/л |
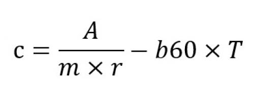
Зная концентрацию алкоголя в крови в промилле, можно определить расчётное количество чистого алкоголя, принятого для достижения искомойпри заданной концентрации. Для этого используется формула Видмарка.
- A – масса выпитого напитка (в пересчете на чистый этанол) в граммах;
- m – масса тела в килограммах;
- r – коэффициент распределения Видмарка или иначе фактор редукции (0,70 – для мужчин, 0,60 – для женщин).
c – концентрация алкоголя в крови в ‰; Стоит обратить внимание, что количество чистого этанола выражается в формуле (1) через граммы. А в бытовой сфере количество выпитого алкогольного напитка выражается в миллилитрах. Для перевода миллилитров в граммы необходимо использовать значение плотности этилового спирта.
Обратное ему математическое действие позволяет проводить расчёт количества выпитого алкоголя по формуле:
A=c*m*r
Так, например, при средней степени алкогольного опьянения с концентрацией алкоголя в крови 1,6‰ у мужчины с массой тела 80 килограмм, расчётное количество принятого чистого алкоголя составляет 89,6 грамм, которые могут содержаться в 180-200 миллилитрах водки крепостью 40% или в 550 мл вина крепостью 13% или около 1,5 литров пива, крепостью 5%.
Для того, чтобы определить содержание чистого (условно 100%) этанола в заданном объеме спиртного напитка, нужно прежде всего знать объем и крепость данного напитка. Так, например, представим ситуацию, что освидетельствуемый сообщил о приеме 500 мл пива, которое имело крепость (концентрацию чистого этанола) в 5%. В этом случае следует применить формулу:
где:
- A – масса выпитого напитка (в пересчете на чистый этанол) в граммах;
- v – объем спиртного напитка в миллилитрах;
- р спирта – плотность спирта, которая равна 0,79384 г/куб.см;
- k – крепость спиртного напитка, выраженная в процентах (%).
В нашем примере масса принятого чистого этанола составит около 20 грамм:
А = 500 мл * 0,79384 * 40% / 100% = 19,85 гр
Из формулы (3) можно провести обратный расчёт количество спиртного напитка, исходя из массы чистого алкоголя:
Формула 1 имеет свою модификацию, если необходим анализ содержания этанола в крови на определённый промежуток времени, прошедший с момента употребления спиртного напитка. В этом случае формула имеет следующий вид:

- c – концентрация алкоголя в крови в ‰;
- A – масса выпитого напитка (в пересчете на чистый этанол) в граммах;
- m
Разберем еще один практических пример, на этот раз с применением формулы 5. Мужчина весом 70 килограммов выпил 100 мл водки крепостью 40 градусов три часа назад. Протрезвел ли он, чтобы садиться за руль? (напомним, что предельно допустимая концентрация алкоголя в крови для этого случая 0,5 промилле).
Как форма и размер стакана влияют на измерение содержания алкоголя
«Эффект больших тарелок» работает и для винных бокалов
Фото: Africa Studio/Shutterstock.com /
1 минута
Исследователи из Кембриджского университета (Cambridge University) выяснили, как размер бокала влияет на количество выпитого алкоголя. Они провели эксперимент, участниками которого стали более 300 посетителей одного из британских баров. Всем им подавалась стандартная порция вина (175 миллилитров) в бокалах разной формы и объема – 250, 300 и 370 мл. В течение двух недель для подачи вина в баре использовались бокалы только какого-то одного типа, а всего эксперимент продолжался в течение 16 недель.
Историки нашли в 1900-летнем папирусе рецепт древнего средства от похмелья
Ученые из Оксфордского университета и Университетского колледжа Лондона расшифровали обнаруженный 100 лет назад папирус и выяснили, что люди пытались найти средство от похмелья сотни лет назад. Об этом пишет Live Science.
Оказалось, что в те периоды, когда использовались бокалы большего объема, бар продавал на 9% больше вина, чем при подаче алкоголя в маленьких и стандартных сосудах.
Тереза Марто (Theresa Marteau) объясняет, что, у людей, выпивающих алкоголь из посуды большого объема, создается впечатление, что их бокал заполнен не полностью, а количество употребляемого вина мало. Это и побуждало посетителей бара заказывать дополнительные порции алкоголя.
Напомним, что уже известно об «эффекте больших тарелок», когда стандартная порция пищи, положенная на тарелку большого диаметра, воспринимается как недостаточная, что приводит к тому, что люди съедают больше нормы.
Какие методы были использованы в эксперименте для определения уровня алкоголя в крови
Допустимая норма алкоголя в крови — это граница, после которой водителя накажут штрафом и лишением прав. Процедура проверки четко регламентирована, а попытка обмана приравнивается к пьяному вождению. Рассказываем о разрешенных промилле в России в 2025 году, о проверках на дороге и у врача и о том, как смягчить наказание, если алкоголь все же обнаружили.
Проверка и оплата штрафов ГИБДД
Нажимая «Проверить штрафы», вы даетена обработку персональных данных на условияхи принимаете.
Проверяем информацию о штрафах,
пожалуйста, подождите несколько секунд
Сколько промилле допустимо
Водителя не накажут, если в литре выдыхаемого воздуха обнаружится концентрация алкоголя меньше 0,16 миллиграмма спирта, или 0,3 промилле — это разрешенное количество промилле. Столько останется алкоголя в организме мужчины весом 80 кг через 4,5 часа, если он выпьет 500 мл пива крепостью 5%.
Если проверка покажет больше — водителя, скорее всего, лишат прав. Допустимые промилле для водителя — это безопасная граница, чтобы сесть за руль.
Штрафы за езду в нетрезвом виде
Если в результате проверки окажется, что водитель употреблял спиртное, он получит штраф 45 000 рублей и лишение прав на срок до двух лет.
Административная ответственность на территории РФ
За пьяную езду лишают прав на два года и выписывают штраф 45 000 рублей. Такое наказание получит водитель, если проверка на дороге покажет больше, чем разрешенная промилле в России. Норма промилле в России — 0,3 на литр выдыхаемого воздуха.
Уровень алкоголя в крови
Что такое промилле. Это одна тысячная часть чего-либо, она равняется 0,1%. Если говорят, что в крови 1 промилле алкоголя, это значит, что в литре крови 0,1% этилового спирта — это 1 грамм.
Степени опьянения и количество промилле. Врачи пользуются такой таблицей:
| легкая | |
| Алкоголь в крови, промилле | 1-2 |
| средняя | |
| Алкоголь в крови, промилле | 2-3 |
| тяжелая | |
| Алкоголь в крови, промилле | 3-4 |
| «алкогольная кома» | |
| Алкоголь в крови, промилле | 4 и выше |
| Алкоголь в крови, промилле |
Период полного выведения из организма в часах. Скорость выведения этилового спирта из организма в среднем — 0,1-0,2 промилле в час. На скорость влияют параметры: рост, вес и пол. Например, 100 мл водки через 6 часов не оставит следов в организме мужчины весом 80 кг и ростом 175 см.
От чего зависит количество промилле
Чем больше человек выпьет алкоголя, тем больше промилле будет в его крови. Норма промилле для водителя — меньше 0,3 на литр выдыхаемого воздуха. Если инспектор обнаружит, что прибор показывает больше, чем допустимые промилле — оформит протокол.
Как проверяют уровень алкоголя в крови
Пьяный водитель опасен для себя самого и для остальных участников движения на дороге. Именно из-за повышенной опасности наказание таким гражданам положено особенно строгое, а правительство отдельным приказом утвердило правила проверки водителей на опьянение. Вот основные пункты.
Причины проверки. Если у инспектора есть основания полагать, что водитель пьян, он отправит его на медосвидетельствование. Основания — это один или несколько признаков опьянения водителя:
- запах спиртного изо рта;
- неустойчиво стоит;
- несвязно говорит;
- лицо быстро краснеет или бледнеет;
- ведет себя неадекватно ситуации, например, машет руками и кричит.
Проверка на месте. Водителю озвучивают правила проверки и предлагают выдохнуть в специальный прибор — алкотестер. Из своей машины водитель может выйти, но не обязан. Инспектор знает, сколько промилле разрешено за рулем в 2025 году, и поэтому может отправить на повторную проверку.
Повторная проверка. Если прибор обнаружит не менее 0,16 миллиграмма спирта на литр выдыхаемого воздуха, водителю через 15-20 минут снова предложат дунуть в трубку.
Протокол. Если при втором испытании прибор снова покажет тот же результат, водителя признают пьяным и об этом оформят протокол. Инспектор отправит этот протокол в суд. Если тестер алкогольный напиток в дыхании не покажет — водителя отпустят.
Как концентрация алкоголя в напитке влияет на показания промилле
Наказать за пьяную езду нас могут только согласно законам РФ – и никак иначе. Но в ПДД никакие «пьяные циферки» не оговариваются. А где же проходит граница между состояниями «пьяный» и «трезвый»?
Действующая редакция статьи 12.8 КоАП РФ («Управление транспортным средством водителем, находящимся в состоянии опьянения, передача управления транспортным средством лицу, находящемуся в состоянии опьянения») гласит:
«Административная ответственность, предусмотренная настоящей статьей и частью 3 статьи 12.27 настоящего Кодекса, наступает в случае установленного факта употребления вызывающих алкогольное опьянение веществ, который определяется наличием абсолютного этилового спирта в концентрации, превышающей возможную суммарную погрешность измерений, а именно 0,16 миллиграмма на один литр выдыхаемого воздуха, или наличием абсолютного этилового спирта в концентрации 0,3 и более грамма на один литр крови…»
Итак, официальные нормы руководствуются совершенно конкретными единицами – это масса, деленная на объем. В школе это называли плотностью. При этом оговариваются следующие предельные значения:
- для выдоха – 0,16 мг/л;
- для крови – 0,3 г/л.
Указанные величины – и только они! – это закон. Никаких промилле в законе нет.
ФАКТОРЫ, ВЛИЯЮЩИЕ НА СКОРОСТЬ ВЫВОДА ЭТАНОЛА
- Пол. Метаболизм у разных полов работает с разной скоростью: мужской организм выводит этанол на 20% быстрее.
- Заболевания. Людям с хроническими заболеваниями, которые влияют на работу ЖКТ, печени или почек, требуется больше времени для вывода этанола.
- Возраст. У пожилых людей вывод этанола из организма замедляется.
- Метаболизм. Если у человека быстрый обмен вещества, то он быстрее выводит алкоголь из организма.
- Вес. Человек с большей массой тела быстрее выводит алкоголь.
Какие факторы влияют на точность измерения промилле этим методом
Сотрудники красноярской Госавтоинспекции, чтобы развеять миф "о безопасности алкоголя в малых дозах", напоили курсанта автошколы коньяком и посадили его за руль на учебном тренажере. О результатах этого эксперимента сегодня сообщил представитель ГУВД Красноярского края.
По его словам, на такой эксперимент гаишники пошли не ради забавы, а чтобы развеять "алкогольный миф о малых дозах".
"Почему-то среди водителей бытует мнение, что употребление небольшого количества алкоголя не оказывает значительного влияния на способность управления машиной, а даже наоборот, помогает справиться со стрессом на дороге. Вот чтобы показать опасность пьянства за рулем на деле, мы и пошли на данный эксперимент", - сказал представитель.
Как рассказали в ГУВД, одному из курсантов автошколы, уже прошедшему полный курс вождения, предложили дважды проехать на тренажере один и тот же участок дороги. Первый раз он ехал трезвым, а второй - спустя 20 минут после употребления 150 граммов коньяка. Первый круг курсант прошел, допустив 26 несерьезных ошибок, при этом он был максимально сосредоточен, двигался с рекомендуемой скоростью.
На "пьяном круге" результаты были ожидаемые - ошибок в три раза больше, превышение скорости, нарушение правил движения, два раза курсант улетел в кювет. "О том, сколько совершается аварий по вине пьяных водителей, знает каждый. О том, что люди гибнут и калечатся, тоже знает каждый. А вот то, что "пьяный за рулем преступник" - либо забыли, либо не верят. Мы на деле показали, что значит даже немного выпить и поехать. Думаю, сам курсант и все кто был рядом на самом деле поняли всю серьезность ситуации", - сказал представитель ГУВД.
Как эксперимент связан с реальными ситуациями, такими как вождение в нетрезвом виде
Для Heineken политика устойчивого развития началась задолго до появления этого термина — 156 лет назад, когда Жерард Адриан Хейнекен купил старую пивоварню в центре Амстердама. Изначально его идея заключалась в том, чтобы создать успешную компанию, которая будет не только производить качественное пиво, но и приносить городу и его жителям пользу. И действительно, открытие пивоварни в Амстердаме способствовало быстрому развитию города. Жерард Хейнекен строил дома для сотрудников, инвестировал в городские социальные программы. Поэтому в том, что Амстердам стал культурным центром Голландии, есть заслуга Жерарда Хейнекена и его компании. Именно тогда зародилась практика активного взаимодействия со стейкхолдерами и прямого общения с конечными потребителями. Жерард Хейнекен прислушивался к мнению местных жителей.
Согласно ООН к целям устойчивого развития относится сохранение экосистем, борьба с изменением климата, решение проблем голода и неравенства, ответственное производство, чистая вода, а также здоровье и благополучие человека
Сейчас в компании действует долгосрочная программа «Варим пиво, делая мир лучше» — одно из ключевых направлений нашей бизнес-стратегии. Из 17 ключевых целей устойчивого развития ООН мы сфокусировались на тех шести, где наш вклад может быть наиболее ощутимым:
Охрана труда и здоровья.
Охрана и сбережение водных ресурсов.
Сокращение выбросов CO2.
Поддержка местных сообществ.
Ответственные закупки сырья.
Продвижение принципов ответственного потребления алкоголя.
Основные приоритеты стратегии «Варим пиво, делая мир лучше» были определены по итогам серии экспертных консультаций, в которых с 2012 года приняли участие многие наши партнеры и заинтересованные стороны. Специалисты Heineken встречались с представителями органов государственной власти, отраслевых и неправительственных организаций (таких как Greenpeace и Amnesty International ), учеными и исследователями, чтобы сопоставить подходы компании, направленные на повышение эффективности программы устойчивого развития, и выработать совместные планы на будущее.
Какие последствия результатов эксперимента для ответственного потребления алкоголя
Уровень алкоголя в организме человека можно измерить, взяв пробы из двух источников – анализ крови и анализ выдыхаемого воздух. Зная один из показателей можно рассчитать другой, но определение по крови делается медицинскими работниками и является более точным.
Единицами измерения являются грамм на литр, миллиграмм на литр, промилле и промилле BAC. Сотрудники ГИБДД используют дыхательные анализаторы алкоголя (алкометры или алкотестеры). У них единицей измерения является количество паров алкоголя в единице объема воздуха: Мг/л – миллиграмм на литр, Мкг/л – микрограмм на литр, Мкг/100мл – микрограмм алкоголя в 100 мл выдыхаемого воздуха.

Грамм на литр (г/л) или миллиграмм на 100 миллилитров (мг/100 мл или мг/%) применяются при исследовании крови. Также используют показатель в промилле. Слово «промилле» произошло от латинского «pro mille», что означает «за тысячу», или одна тысячная доля какого-либо числа, обозначаемая знаком ‰ (одна десятая процента). Например, 0,3 промилле алкоголя в крови означает, что в литре крови – 999,7 миллилитра крови и 0,3 миллилитра алкоголя. Обратите внимание, что эти показатели касаются только объёма. Для того, чтобы рассчитать соотношение веса и объёма (спирт легче крови и менее плотный) была выведена специальная формула, а показатель назван промилле BAC (Blood Alcohol Concentration). 1‰ ВАС равняется 1 грамму на литр. Но эта величина официально в России не используется, уступая классическому отношению г/л.
Соотношение концентрации алкоголя в крови и выдыхаемом воздухе постоянно и определяется разностью плотности сред. В среднем соотношение составляет 1 : 2200 при колебаниях от 1300 до 3000. Это означает, что в 2200 см3 воздуха содержится такое же количество алкоголя, как и в 1 см3 крови.
Напомним, что максимальный уровень содержания алкоголя, при котором можно управлять транспортным средством, определяется примечанием к статье 12.8 Кодекса об административных правонарушениях: «наличие абсолютного этилового спирта в концентрации, превышающей возможную суммарную погрешность измерений, а именно 0,16 миллиграмма на один литр выдыхаемого воздуха». Используя соотношение 1:2200, получаем, что 0,16 мг/л в выдыхаемом воздухе = 0,352 г/л в крови, что в народе называют как «0,3 промилле».
Как объем напитка влияет на измерение его алкогольного содержания
Промилле (‰) — единица измерения концентрации этилового спирта в крови, которая обозначает количество вещества на 1000 единиц. Промилле используют для определения содержания этанола в крови человека, оценки степени опьянения. Например, показатель 1 промилле значит то, что на 1 литр крови приходится 1 гр. спирта. Измерение промилле проводят при помощи разных методов:
- алкотестер — для персонального пользования, измеряет содержание спирта в выдыхаемом воздухе;
- калькулятор — помогает рассчитать промилле в зависимости от количества выпитого и крепости алкоголя;
- лабораторные анализы (спектроскопия, хроматография) — для определения концентрации алкоголя в крови.
Различия между содержанием алкоголя в крови и в выдыхаемом воздухе
Концентрация алкоголя в выдыхаемом воздухе и в крови — это два разных показателя, различие между которыми заключается в методе измерения содержания алкоголя. Когда этанол попадает в организм, он всасывается в кровь через слизистые кишечника и желудка. Спирт достигает легких, в которых небольшая его часть испаряется, а затем выводится с воздухом.
В крови концентрация этилового спирта измеряется в промилле, в выдыхаемом воздухе — в мг/л (миллиграммах на литр). Примерное соотношение между концентрацией алкоголя в крови и в воздухе — 1:2100. То есть 1 мг/л спирта в выдыхаемом воздухе соответствует 2,1 ‰ алкоголя в крови.
Формула расчета промилле для разных напитков
Формула расчета промилле выглядит так: Промилле = (кол-во чистого спирта в гр / вес человека в кг х r) ×1000, где:
- r — коэффициент распределения спирта в организме (показатель r для мужчин — 0,68, для женщин — 0,55);
- количество чистого спирта в гр = объем напитка в гр. х процентное содержание алкоголя х 0,8 (0,8 — плотность спирта (80%)).
Например, если вес женщины 50 кг, она выпила 100 мл 40-градусного напитка (коньяка или водки), то концентрация спирта в промилле в организме будет равна 1,16 ‰:
- Количество чистого алкоголя: 100 мл. х 40% х 0,8 = 32 гр.
- Промилле = (32 / 50 х 0,55) х 1000 = 1,16 промилле.
Если мужчина весом 70 кг выпил 500 мл 5% пива, то концентрация алкоголя в крови в промилле будет равна 0,42 ‰:
- Количество чистого алкоголя: 500 мл. х 5% х 0,8 = 20 гр.
- Промилле = (20 / 70 х 0,68) х 1000 = 0,42 промилле.
Какие ключевые различия между измерением промилле в лаборатории и в реальной жизни
- 28.03.23 11:57

В череде тихих будней небольшого райцентра порой случаются истории, которые нельзя замалчивать. Во благо наших же детей, ведь на ошибках учатся, как на чужих, так и на собственных. Возможно, кого-то эти случаи из реальной жизни и комментарии специалистов заставят задуматься, и повторения больше не будет.
В феврале семиклассники одной из городских школ решили провести эксперимент. Их целью было понять, как действует на человека алкоголь. Что это за удовольствие, из-за которого многие взрослые не могут потом остановиться?
Сорокаградусную нашли дома у одного из ребят: отец оставил открытую бутылку и уехал в рейс. Ее-то мальчик и взял для «опыта».
Занятия в школе в тот день начинались во вторую смену, поэтому «экспериментировать» школьники начали уже в 11 дня. «Исследователи» включили
А дальше друзья отправились на уроки. Но учеба в тот день не задалась. Одному из ребят — семикласснику, который выпил больше, в школе стало плохо, началась жуткая рвота. 12-летний подросток шатался из стороны в сторону, его речь была невнятной. Учитель забил тревогу — вызвал медиков. В итоге прямо с урока бригада скорой помощи доставила ребенка в реанимацию. Там и обнаружилась причина резкого ухудшения здоровья — высокая для детского организма доза алкоголя. К счастью, медикам удалось привести мальчика в чувства. Если бы после «эксперимента» тот остался один дома, последствия были бы уже иными.

Юлия Кашевская, подростковый врач психиатр-нарколог:
— Через опыты и эксперименты мы познаем жизнь, учимся чему-то новому. Но не всегда они заканчиваются удачно. К счастью, в нашей истории «экспериментатор» вовремя получил медицинскую помощь. Но еще бы пару глотков алкогольного яда — и дело могло бы закончиться комой. Мало кто из подростков осознает, насколько серьезными могут быть последствия употребления спиртного. Конечно, об этом говорят в школе. Но, во-первых, не все хотят слышать информацию, так как считают, что это их не касается. А во-вторых, желание все попробовать на себе порой сильнее здравого смысла.
Из-за отравляющего действия алкоголя развиваются такие болезни, как цирроз печени, панкреатит, сердечно-сосудистые и заболевания центральной нервной системы. Самое опасное токсическое действие алкоголь оказывает на мозг, разрушая его. Изменения в мозге необратимы и происходят сразу после употребления даже небольших доз алкоголя. В результате ухудшается память, внимание, снижаются интеллектуальные способности, начинается деградация личности. Лучше всего учиться на чужих ошибках и не экспериментировать со своим здоровьем.

Ксения Цупрун, начальник инспекции по делам несовершеннолетних Дзержинского РОВД:
— Ввиду того, что распитие алкоголя происходило по месту жительства, подростки не подлежат административной ответственности по ст. 19.3 КоАП. После распития они направились в школу — в общественное место. Один из подростков демонстрировал явные признаки алкогольного опьянения. И в данном случае уже имеются признаки административного правонарушения. Правда, привлечению к ответственности подлежит лицо, достигшее 16-летнего возраста. В случае же с младшими подростками отвечать будут оба родителя при доказанности вины в невыполнении обязанностей по воспитанию детей, которые совершили правонарушение.
Теперь на протяжении года c несовершеннолетними будет проводиться индивидуальная профилактическая работа в ИДН во взаимодействии с врачом психиатром-наркологом и специалистами учреждения образования. Подростков будут посещать по месту жительства и в школе, с ними проведут беседы и привлекут к различным профилактическим мероприятиям.